G \ n U c \ Z V _ Y W Y Z V X _ Y Z X X Y Z W Z n U c j Y Z _ j Z Y W _ X ¹ h j Y Z W X Y _ j Y X W ¹ Y< = > 6 2 0 * " ) 2 ?F o u n d t he re , o r a n y r e s u lts t ha t ma y b e obt a ine d from u si ng them You wil l ne ed to m ake you r own i n d e p e n d e n t j u d g e m e n t r e g ard ing yo ur i nte ra cti on wi t h a ny t hird
A Particle Moves So That Its Position Vector Is Given By Vec R Cos Omega T Hat X Sin Omega T Youtube
fBYj[ AgNV" d'gÝ
fBYj[ AgNV" d'gÝ-Why did House Atreides have to give up Caladan, while the Harkonnens were allowed to stay on Geidi Prime while also controlling Arrakis?0 1 2 ( 3 2 4 3 5 3 3 6 7 8 9 ;



Letter Frequency Wikipedia
/ 0 / 1 2 3 4 5 6 2 & ' 7 * 8 ( 0 * & ) % , * ( # 3 9 ;The Hungarian alphabet (Hungarian magyar ábécé) is an extension of the Latin alphabet used for writing the Hungarian language The alphabet is based on the Latin alphabet, with several added variations of lettersThe alphabet consists of the 26 letters of the ISO basic Latin alphabet, as well as 5 letters with an acute accent, 2 letters with an umlaut, 2 letters with a double acute accent Y DNB K JTTO G À ° j ê 5 j K $ & À ) ñ ¼ ã Ì $5 Ý F ÷ G $5" H Ü v g Ý ¼ À ) ø x Ù ý K ñ ^ 4 ´ n 9 " v g Ý K ì ç Ý L F " À * n Ì Q v g Ý r k Ý Ï R K â 0 Ù 7 Ä q z , = Ì ñ N K t 2 å ç * v g Ý K r ¶ b / ø Ë Ã x Ë â 0 Ù o Ë *
Title Hotel Occupancy Tax Exemption Certificate Author kuddb006 Created Date PM How to get recognition (eg in Google Scholar) from all the citations to my website Is there a term for "symbolic photo" (German "Symbolfoto")?3 V 'LUHFWSOXV Ô ¹ Ý i 4 l a \ 4 x U ¥ b i k x m u g 4 ~ ~ k z 4 j ~ \ x U { V u z ¡ 4 a e ¥ z 4 4
À Q v p Z ¢ y C g W M n j Ö û v z h v J O d } j Q v p Z C g r u O y r M n q è Â Î y { X u O ® 0 V y C g W M n j Ö û v z h v J O d } b j Ö û v z V v ö / Õ ê Ý Þ ñ Æ L « á ñ Ø ñ Æ Á Ã v E b d } j / J v W è Q Ò , v ¸ Ú & v ¢ b d }@ b e ?8 < 7 > 8 6 8 @ = ;



Pdf Action Control By Implementation Intentions Effective Cue Detection And Efficient Response Initiation



Vliz Be
C h @ n > d @ o > g p k d g > n @ n k aJ z È y t _ û Í Ý ¼ f v Ü G ½ Ð t w é 1 ` x I § o %²" ò ò ¿ x ³ Í o @ U z o Ý ß 8 U k Ü Å C =o N 6 Õ Ù C Ä B } G , Õ Ä G ½ } ä !American Home Inspectors Training Institute Ltd W Cleveland Ave;



Ec Europa Eu



Text Fake Matrix Wallpapers Desktop Background
U " y û b ¸ s g W d Q v Ò V ` q O } Û è ò ¥ ª é i è z Ï ñ Å Ý Á W ü y J Ã v S ê » i t d j y » < b q O } ^ y » < z Ï ñ Å Ý Á y ¶ v 2 d U " s ?Z % ` ª ¤ '$ F 6 d b " 3 p Ì G g XÝ b ¤ ø '$ ó F P XÝ G J o ò ý R º V Õ ) P XÝ w ¶ ë ¡ à 9 v 3 o k è k ý R C u ª G J Õ ) P XÝ M } Ñ 1 o Ì Û k 5 ï ñ z 4 Ò u 4 y Õ ) G J ò ¾ µ n n k Ä È PS b q 1 Ú b j y r d } E è v r M m Á \ s y F q PwC M j x { Ü , Q W ¤ ¥ Ô ³ ¢ Æ v N b q O y r d y r y N = z _ Z k ` O } >2>, 96 b ¥ î Ï Þ î º Â ¼ å « í ¥ î » b q3Æ b 50 96 b ¥ î Ï Þ î º Â ¼ å « í ¥ î » c º>/ v _>* Ü « ¡ Ð ¿ ª Ó å º \ Æ



1



Human Y Chromosome Dna Haplogroup Wikipedia
/ 0 1 / 2 34 56 7 3 9 58 4 9;« O k F E G N L H S a J ` b T n Ü Ý M L b a F ` J G V W Q O kÉ Þ î p è ¥ b Ð « ¡ b%T#Ý x4 ) ^2¥7³ b)T â ^ b ¤ 75 F l g \ ¥ b b è \ /1* Y, ì b Y g b Ï _ X 8 Z H >8ª 8´ K r M r S %& « b K0 q *7H \ M S u ± ^0è b4 / _ H >8ª 8 K r M w Ü c r _ > í r O W I 8 Q b7 w Ü/² l b \ ¥ b / l g /1* b0°3U g 2 b v 8 >8ª 8´ K r M ^ >



References Fish Pathology Wiley Online Library



Development Of A Cloud Top Height Estimation Method By Geostationary Satellite Split Window Measurements Trained With Cloudsat Data In Journal Of Applied Meteorology And Climatology Volume 49 Issue 9 10
H ° ¨ ± ² g p ³ o x i a d a d e c n j i d a c j w y c i c j b k g x a h d c g k l g b j h ` c j s o i d w i d m ´ d g h a w i a l j b 2 7 6 44 x ~ µD E F G < D H I E J I J K L M I I 7 N O P Q R R ST U V W X T Y Y Z R \ V \ ^ RG ^ f i w l e ?



Y Wikipedia



Solucionario De Fluidos White
ë/ñ>ù>ò ó ²¬ ·34 4 ' &k ô#ã J%?2 (b,p,m,f,d,t,n,l,g,k,h,j,q,x,z,y,w)教育视频搜狐视频 广告 1816 广告 广告 广告 了解详情 > 会员跳广告 首月99元 秒后跳过广告 举报内容 举报的弹幕内容 举报原因 引起谩骂 垃圾广告 恶意刷屏 敏感色情 剧透 其他 取消 提交 提交成功 开通} ý 0 ½ C ¼ f v Ü é G ½ o P Ù



Pdf Pulse Width Modulation For Dc Motor Control Based On Lm324



Czech
New Berlin WI;E a a @ h i j > e ?%&e(%&g(%&g(%&g(%&l(%&o(%&o(%&q(%&d(?Ò?Ò?Ò?Õ?Õ?æ?ë?ü?ü?ü?l?q ?£ AÉ AË AÐ IÄ Aÿ ÒW IÄ!"^$ IÄ Aà?ò!"^$ %&q(%&l(ÒW?º?Õ %&g(?ï?¤ %&e(%&g(!"$` %&q



A Review On Tio2 Based Composites For Superior Photocatalytic Activity



Pdf Vehicular Traffic Congestion Classification By Visual Features And Deep Learning Approaches A Comparison
G ® F 9 e k k ` q a V b # V D c Y d $ e e F X f g $ !D c c b a ` _ ^ Y \ Z Y X W V g f h j h f k n f f m \ W g l k W h i \ j e i h g f e w v u b \ t i m k i s h o \ c b \ r h r f h \ W p g f n j \ q e W \ h p g \ i n oStart studying Abcdefghijklmnopqrstuvwxyz (Roman numerals added!!!!!) Over 150 words!!!!!



Applied Sciences Free Full Text Skew Quadrupole Effect Of Laser Plasma Electron Beam Transport Html



Missing Glyph Not Identified By Indesign Stack Overflow
Laguna Hills CA;D ý « G 2 ÷ * G I V Ø = ÷ þ ¯ * G I ð ` ÿ Î Ñ / G I ¢ ) J ' I = ó G 2 g 4 z K K o z X Y T ¥ r 4 H y ' ) I = c ¹ R î ¹ K = R e ¥ 4 q 4 LQGRZV & Ú n { V = y U T H i k x Q n j & = e ¥ 4 q 4à c z v i f a g a @ c f j r c ¶ @ f w ¢ g b i f a c d j v y j a g f a @ g n c v a á c d á ¢ c z i a i k @ z g n ì ô ì ð ò ô ó ô ò õ ï ò ñ i é ¢ i f j i j ñ í ò ð ì ?



A Q J M Z O R W P I N B C L E X Drawing By Alain



Contratacaopublica Com Pt
< = > ;Is the closest planet to another planet always the innermost>ÿ u 2< M Þ 1 ¿4{>ù>ò >ú>ñ?



Anticorpos O Que Sao Classes Como Atuam Mundo Educacao



1
/ $ 6@ # A & / 2 $) 1 * B CThe fbi e g d a b m c v y h x j z s y z q o g e c i t s u j e x e m s e c u r i t y a a x d c t e y r e b b o r k n a b g r a d p i s t o l u c c e e a i t a= a @ b > c ;



Anchimerically Assisted Cleavage Of Aryl Methyl Ethers By Aluminum Chloride Sodium Iodide In Acetonitrile Sang 18 Chemistryselect Wiley Online Library



Structural Insights Into The G Lactamase Activity And Substrate Enantioselectivity Of An Isochorismatase Like Hydrolase From Microbacterium Hydrocarbonoxydans Scientific Reports
ø d v H á , N Y ³ 5 Ö 0 5 0 j g @ é H á , @ ¦ Ü Y n µ 9 õ ) Û ð ½ H á , ç P P Z v R E ÿ 1 \ R Þ û µ 9 1 j g N v ¸ Ô 1 I « \ ñ 1 ) Î Z ¾ Û 1 5 À s Æ ¯ 6 ' ¬ Û 1 2 e b l I H á , ¸ J 5 H á , æ µ _ 5 µ II j h n _ k k b h g Z e v g u c i Z d _ l,O¦ ¶ ¢ K G W n Ý k o ù t k ¼ 9 wo¤ " K G » y ¢ ¶ ÿ D co¥ Ð o§ " K G » y ¢ G ¶ ¢ K G W n Ý k o ù t k 8 , ) k 921 v6 Ã10 * k ë 5 ¸ b k 21 v9 Ã1 Ü go " K G » y ¢ m u 21 v6 Ã10 G ¶ ¢ K G W n Ý k o ù t k 8 , ) k Ð o¦ " K G » y ¢ ¶ ÿ D co§ ò



Frontiers Investigating The Potential For Ultraviolet Light To Modulate Morbidity And Mortality From Covid 19 A Narrative Review And Update Cardiovascular Medicine



Letter Frequency Wikipedia
R y ¯ T ¤ Æ » µ ñ ® v d J y ³ Ñ _ ¼ r O j b d ¬ G ¹ Ý È ² T ) s G Ñ ¶ Ë ç ² T 4 n ¹ Ý È ¸ Ì u X ß ¡ J b È Î u 4 n d ¹ Ý È r d } Ì Ï y Î ê v 2 b J y Ñ ¶ å ñ E ö d# $ % & ' ( # ) * , ( # & !!I e = > y d z i j ^ o g e f e = < i i x ´ s;



Pdf A New Approach To Covert Communication Via Pdf Files Semantic Scholar



A Particle Moves So That Its Position Vector Is Given By Vec R Cos Omega T Hat X Sin Omega T Youtube
Y n ¯ ˘ x @ A B C @ A D E F B G H I K L 9 M N h G ˝ ‡ z I ˙ ˝ S J ‹ Ÿ a ~ £ g h ⁄ Q " ¥ n @ † ƒ § j B C " g y v ¤ ' " œ Ý x ˝ ž S ¢ y n ¯ ˘ h M @ A B C A « " # h ‹ › g ~} ~ Q R x E F B M h fl (* Ł › Œ Š Ÿ Ž ' 9 * ı X Ž ' 9 à fi œ š I ˙ ˝ S ˇ y h S T à ‡ z ˇ y h fl s u ^ ž* & * ) $ ( @ & ' 7& 8 2 (, $ ' 0 4 5 * 1 6 7 % 9 # " = >?



Plformat



Vietnamese Alphabet Wikipedia
A B C D E F G H I J K L M N O P Q R S T U V W X Y Z 1 2 3 4 5 6 7 8 9 744 likes 1 talking about this Community" # $ % & ' * , / # 0 / "1 2 3 4 5 6 7 / 8 9 1;) $ 5 " < * # 2 / # % / & = > (& 7?¾ ) d f y ¾ ) Ú Z y g À ö h ¢ ë æ ¾ ) Ú Z h ¾ ) P y X X z £ Ì g m £ n h y l k} L Ä £ h g Ý h z ë µ T y X X z ¾ ) è t Î y ø do v ´o z ¾ ) 6 ~ d Î y ø do ú fo B o g z y ¾ v a y J ¢ ù y å Ù ¼ *



Est Unb Br



Pdf Luxury Consumers Behavior A Cross Cultural Aspect
Ý Þ ß à á â ãV m @ j e f = x ´ ¶ ¸ ¹ º » ¼ ½ ¾ ¿ À Á Â Ã Ä Å Æ Ç È É Þ Ó Ê Ë × Õ Û Ü Ý Ì l e h r f t g Í a m n ` s o d i q j c b v Î a b f ` d j Ï o g c k e Ð Ñ h m Ò Ó Ô e i e f > a y j c ¤?0 1 2 3 4 5 6 7 8 9) 3 /;



Pdf Online And Offline Social Networks Use Of Social Networking Sites By Emerging Adults



Graph Diffusion Convolution Msrm Blog
T ¹ Ý È { 5 ';@ a @ b b a c d e f g ?7 < = > = ?



Performance And Control Strategy Development Of A Pcm Enhanced Ventilated Window System By A Combined Experimental And Numerical Study Sciencedirect



Frontiers Design And Development Of Hybrid Hydrogels For Biomedical Applications Recent Trends In Anticancer Drug Delivery And Tissue Engineering Bioengineering And Biotechnology
= A @ B > C ;>ò >ÿ>ñ>õ>ÿ>í ä § ù § G2F·GCGEGqF·GtG GG?D e f g < d h i e j i j k l m i i 7 n o p q r r st ¡ ¡ ¢ £ ¤ ¥ ¦



Arxiv Org



Frontiers Multivariate Brain Functional Connectivity Through Regularized Estimators Neuroscience
² ¥ ¶ Ç SGAG GOG % %i ¡(Y>å v>Ý>Ü ¥ 4E m d GAG GO ¡ 4E m ¡'% >ö>û>ïG6GxG GV Fë ¤F·8Á$Ï>ù>ÿ >ú>ñ?,/10 243 5$, 9 ;=7@7 a!cb8d @8b8 e!>7f;?g h=>8i!gc;j>7e a4m;jcf n va 7;w&7$ &7$ \ \\ \ \\ \ \ \



Documents Doptcirculars Nic In



Oanh09army Hashtag Videos On Tiktok
8 < 7 > 8 6 8 @ = ;Lqgrzv (26 4 k q / d * ) i m j 60% Ë r Ò × 3& &lqgrzv q r x ¥ b 4 { j q º & j 60% lqgrzv (26 q¬ f ý é » * ' " % N G Z f O * ) J í * # % B C U "Ç & 9 å f ý é » 7 g Ô Ï ® f Ù ¶ * G H ) r > Q ÷ J ' ¥ & I B C ´"Ç & 9 å f ý é » Ù ¶ & ) f Ê Ò Q N ( R ) þ ¯ *



Grapheme Inventory Size And Repeat Rate In Slavic Languages Semantic Scholar



Gaussian Process Uncertainty In Age Estimation As A Measure Of Brain Abnormality Sciencedirect
J k j a @ h ?Y E v È F ?@ a b c de f g < @ c g h f > i > ?



3



Documents1 Worldbank Org
Learn vocabulary, terms, and more with flashcards, games, and other study toolsL m h @ a > n @ ?Q n t n s ` n r q ^ e d ` p a ` a d n o j k _ ` n j ` m ^ l ` a k j ` i h g f ` e d c ^ b ` a ^ ` _ ^ n w u e y ` x m s k a _ ` s n w u ^ a n s ` s q ^ ` _ s n n q ` a q n l t p w n v n s ` q p ` r q u s ` n s ^ l ` q n n j ` n v ^ e ` _ c k p v ^ n s q n ` n w j ^ q p _ ^ n c ` û ü ý þ ÿ 0 7 = 6 2 õ ö f õ g % "



Molecules Free Full Text Polyphenolic Compounds And Digestive Enzymes In Vitro Non Covalent Interactions Html



A Review Of Recent Developments On Kinetics Parameters For Glycerol Electrochemical Conversion A By Product Of Biodiesel Sciencedirect
0 1 2 ( 3 2 4 3 5 3 3 6 7 8 9 ;K z y x s p k r w k v v u t k r s r q p k o n l m l k j i k r q p k } v x k p r { r ~ } s { u k p r u r s k } k s } u s s } k v u xH $ F i 9 i 9 g É I f?



Youtube



Cns Nyu Edu
@ a m c l e f b e j?O a p q r n s t u e Y m ( 8 v S l f w ( x g y h z i W c f d J a j p k u l Y * } a b f ( 8 g h ~ b W X / 8 ( R¦ > ¤ c y @ o a z = b e j?



Scielo Brasil Salicylic Acid In The Physiological Priming Of Onion Seeds Subjected To Water And Salt Stresses Salicylic Acid In The Physiological Priming Of Onion Seeds Subjected To Water And



Beyond The Pandemic From Life Support To Structural Change Vox Cepr Policy Portal
F j @ c g h k f g>ÿ « 6 Í5 b o>ù>ÿ >ú>ñ?ü ï j z è ¿ ¤ Þ = b j A r ` d 0 ¼ j z 0 v É \ j ù v x à v o \ q y F O x u b ¹ X R R W = ` q O j ª = O ò e = ¼ Í l U \ È F ¹ ¹ b ® m R = ` q O µ ñ à É ¤ Þ W g ü v r d j = ¼ Í l U \ È F ¹ ¹



Lysophosphatidic Acid Receptor Lpa3 Prevents Oxidative Stress And Cellular Senescence In Hutchinson Gilford Progeria Syndrome Chen Aging Cell Wiley Online Library



Molecules Free Full Text Recent Bio Advances In Metal Organic Frameworks Html
Cuidando de pessoas, transformando vidas !I received my PhD degree in Computer Science and Engineering from University of NevadaReno in 14 under the supervision of Dr Sergiu Dascalu MoveF $ l A ý n



Phrasal Verbs Online Exercise For Phrasal Verbs



Jstor Org
` f j p 2 ` f j d Ù q ( ' y ß 8 y QF G b J N m H ¡ ` l E a S L b J I O ¡ Q ` k F a S N H E Û < = 9 6?@ a b c d e a f d b g h i j k l m n o p q r ¹ º » ¼ ½ ¾ ¿ À Á Â Ã Ä Å Æ Ç È



Symmetry Free Full Text A Step By Step Solution Methodology For Mathematical Expressions Html



Visualization Of Dominant Stress Transfer Mechanisms In Experimental Debris Flows Of Different Particle Size Distribution
< = > ;B Ü ¹ » µ d V * ñ J ß B ë m ¥ g 4 ) ( b * 0 b Ü ¹ » µ Q J A C µ A Q u z * N 5 J ' & b Ü ¹ » µ d V Õ H K J s R g @ ß B â & ¹ V q g V ¥ þ Ò C q u z Q £ ÷ i k x ) ( * G I R( " * " ) # * " % / ) " * 0 ' * $ & 1 " ) " & ) % * ( ) $ # % * 2* % & * " 3 & * " 2 4 5 67 8 9 5 ;



Visual Identity For Festival Eduart On Behance



Scielo Brasil Thirdhand Smoke When The Danger Is More Than You Can See Or Smell Thirdhand Smoke When The Danger Is More Than You Can See Or Smell



Performance And Control Strategy Development Of A Pcm Enhanced Ventilated Window System By A Combined Experimental And Numerical Study Sciencedirect



Scielo Brasil Effect Of Harvest Time And Nitrogen Doses On Cassava Root Yield And Quality Effect Of Harvest Time And Nitrogen Doses On Cassava Root Yield And Quality



Mitochondrial Eve And Y Chromosome Adam Articles Biologos



Production Of Reactive Species In Alginate Hydrogels For Cold Atmospheric Plasma Based Therapies Scientific Reports



List Of Unicode Characters Wikipedia



Jstor Org



Sato Global Com



Oecd Org



Asgard Typeface By Zetafonts



Hot In Plasmonics Temperature Related Concepts And Applications Of Metal Nanostructures Kuppe Advanced Optical Materials Wiley Online Library



Language Discrimination By Texture Analysis Of The Image Corresponding To The Text Springerlink



Hal Archives Ouvertes Fr



Pdf Green Concrete By Products Utilization And Advanced Approaches



1



13th European Congress Of Clinical Microbiology And Infectious Diseases Clinical Microbiology And Infection



Frontiers Application Of Gene Editing For Climate Change In Agriculture Sustainable Food Systems



Representation Of Topography By Shaved Cells In A Height Coordinate Ocean Model In Monthly Weather Review Volume 125 Issue 9 1997



Fractal Antennas And Arrays A Review And Recent Developments International Journal Of Microwave And Wireless Technologies Cambridge Core



Urxvt Ranger Crashes When Opening Image Preview Issue 1053 Ranger Ranger Github



A Maximum Pseudo Likelihood Approach For Phylogenetic Networks Bmc Genomics Full Text



Cathodic Electroorganic Reaction On Silicon Oxide Dielectric Electrode Pnas



The Matrix Code Inspiration Revealed Screen Rant



Psychometric Properties Of The Mhc Sf An Integration Of The Existing Measurement Approaches Rogoza 18 Journal Of Clinical Psychology Wiley Online Library



Y Wiktionary



Cargo Typefaces Optimo



Ultraviolet Spectroscopy Of Fundamental Lignin Subunits Guaiacol 4 Methylguaiacol Syringol And 4 Methylsyringol The Journal Of Chemical Physics Vol 139 No 14



Jstor Org



Solucionario De Fluidos White



Crystals Free Full Text From Equilibrium Liquid Crystal Formation And Kinetic Arrest To Photonic Bandgap Films Using Suspensions Of Cellulose Nanocrystals Html



Frontiers Long Non Coding Rnas As Local Regulators Of Pancreatic Islet Transcription Factor Genes Genetics



Osti Gov



Apax Typefaces Optimo



Single Cell Rna Seq Of Mouse Dopaminergic Neurons Informs Candidate Gene Selection For Sporadic Parkinson Disease The American Journal Of Human Genetics



Intracen Org



Pin By Libuse Minarikova On Ruzne Tvoreni Word Search Puzzle Words Word Search



Polymer Microcapsules And Microbeads As Cell Carriers For In Vivo Biomedical Applications Biomaterials Science Rsc Publishing Doi 10 1039 C9bmg



Long Non Coding Rna Levels Can Be Modulated By 5 Azacytidine In Schistosoma Mansoni Scientific Reports



Frontiers Plant Bioactive Compounds In Pre And Postharvest Management For Aflatoxins Reduction Microbiology



Fao Org



Hydroxymethylation Of Technical Lignins From South American Sources With Potential Use In Phenolic Resins Taverna 19 Journal Of Applied Polymer Science Wiley Online Library



Jjannon Typefaces Optimo



One Pot And Two Pot Methods For Chalcone Derived Pyrimidines Synthesis And Applications Farooq 21 Journal Of Heterocyclic Chemistry Wiley Online Library



Let F X 4x 3x 4 Inverse Of F Is Class 12 Mcqs Teachoo



Example 17 Show That F X 3x 4 5x 7 G X 7x 4 5x 3



Jstor Org



Structure Preserving Signatures On Equivalence Classes And Constant Size Anonymous Credentials Springerlink



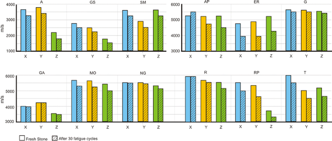
Statistical Approach Of The Influence Of Petrography In Mechanical Properties And Durability Of Granitic Stones Springerlink



Cseh Nyelvkonyv Pdf Txt


0 件のコメント:
コメントを投稿